文献解读
贾伟教授团队 | Q300破译4284例临床大队列,精准锁定肝纤维化无创诊断Panel
全球慢性肝病负担持续攀升,代谢相关脂肪性肝病(MASLD) 与慢性乙型肝炎(CHB) 已成为肝纤维化、肝硬化乃至肝癌的主要推手。肝活检虽为 “金标准”,但有创、取样误差、依从性差;临床常用FIB-4(Fibrosis-4 Index,常规血液检查评估肝纤维化风险)简便易行,却在进展期纤维化确诊中特异性不足,难以满足精准诊疗需求。
2026年3月31日,麦特绘谱创始人贾伟教授团队在Cell Reports Medicine上在线发表了题为“A metabolite-augmented FIB-4 machine learning panel achieves superior liver fibrosis staging in chronic liver disease”的重磅研究,基于代谢组学+机器学习,成功构建Met-FIB无创诊断模型——在传统FIB-4基础上,融合酪氨酸(Tyr)+牛磺胆酸(TCA)两大代谢标志物,实现对乙肝、脂肪肝两大主流病因全纤维化阶段(S0–S4)的精准分期,尤其在进展期纤维化、肝硬化确诊中实现跨越式提升。

研究思路

图1. 技术路线
4284例多中心队列:基线严谨,临床特征高度可信
研究首先对4个队列共4284例参与者的基线特征进行系统描述,整体设计为发现队列(Cohort 1,n=3251)、测试队列(Cohort 2,n=729)及两个MASLD独立验证队列(Cohort 3,n=149;Cohort 4,n=155)。基线数据显示,随着纤维化分期从S0进展至S4(肝硬化),患者年龄呈显著上升趋势,血小板计数则逐步降低,AST(天冬氨酸氨基转移酶)、ALT(丙氨酸氨基转移酶)及FIB-4值也呈现与疾病程度一致的变化规律,符合慢性肝病进展的典型临床特征,为后续分析奠定了人群基础。

图2. 人群研究设计
代谢物筛选:锁定Tyr+TCA两大独立纤维化标志物
通过Q300全定量代谢组学技术对人群血清样本进行检测,经Mann-Whitney U检验初步获得39个差异显著代谢物。随后采用ElasticNet与XGBoost双算法交叉筛选,在兼顾共线性控制与非线性关系捕捉的前提下,从Top20共有代谢物中最终锁定酪氨酸(Tyr)与牛磺胆酸(TCA)作为核心代谢标志物。多因素Logistic回归校正年龄、性别、BMI、糖尿病及用药等混杂因素后证实,两项标志物在CHB与MASLD人群中均与纤维化分期呈独立显著相关,且表现出清晰的剂量–效应关系,为模型构建提供了生物学靶点。

图3. 发现队列中的代谢物和生物标志物选择工作流程
6参数+Transformer架构:Met-FIB模型构建和性能验证
基于筛选结果,构建Met-FIB模型:将传统FIB-4包含的年龄、AST、ALT、血小板计数4项指标,与Tyr、TCA两项代谢物整合,形成6参数诊断Panel。为选择最适配临床的算法,系统对比TabPFN、梯度提升、随机森林、类别提升及逻辑回归5种模型,经5折交叉验证与外部验证后确定TabPFN为最优算法。该Transformer架构模型在小样本下表现稳健、无需大量调参,灵敏度与特异性均衡性最佳;Shapley分析进一步显示,Tyr与TCA合计贡献24%的模型预测权重,且Tyr跻身显著纤维化预测Top3重要因子,是真实提升模型效能的关键成分。
模型效能验证结果显示:在Cohort 2中,Met-FIB区分CHB患者与对照的AUROC达0.928,识别显著纤维化、进展期纤维化及肝硬化的AUROC分别为0.669、0.770、0.897,均显著高于单独FIB-4及Tyr+TCA组合。针对肝硬化等低患病率事件,AUPRC比AUROC更具临床参考意义,Met-FIB的AUPRC全面领先对照方法,说明其在识别真阳性、降低假阳性方面具备明显优势。

图4. Met-FIB模型性能更优
研究针对MASLD人群常见的糖尿病混杂因素开展亚组分析,结果显示,糖尿病与非糖尿病纤维化患者的Tyr水平无统计学差异,Met‑FIB模型分布高度重叠,证明该模型检测的是肝纤维化本身的病理改变,而非全身代谢状态的间接信号,在复杂合并症人群中依然保持稳定可靠。

图5. Met-FIB不受混杂因素干扰
Met-FIB:高排除灵敏度+高确诊特异性——临床决策更高效
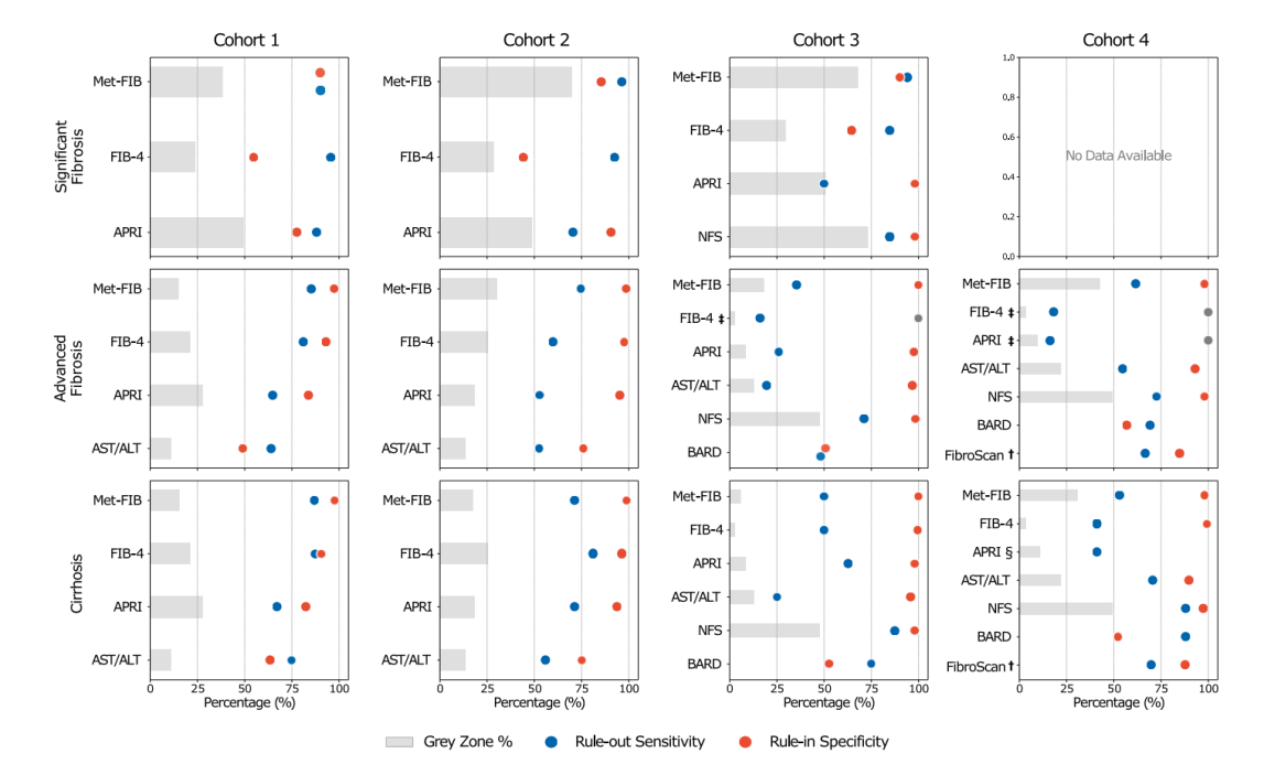
临床最具价值的双阈值(Rule-out/Rule-in)分析进一步凸显Met-FIB的实用性。在显著纤维化判断中,CHB队列排除灵敏度达96.3%、确诊特异性85.4%,MASLD队列排除灵敏度93.9%、确诊特异性90.2%;在进展期纤维化与肝硬化判断中,Met-FIB确诊特异性大于97.9%,远优于传统FIB-4。
与APRI、AST/ALT、NFS、BARD及FibroScan等现有无创工具对比显示,Met-FIB在排除灵敏度、确诊特异性、阳性/阴性预测值上全面占优,且灰色区间占比显著更小,在MASLD队列中灰区仅6.0%–18.1%,远低于NFS的47.7%,可大幅减少临床无法判断的中间状态。

图6. Met-FIB优于传统FIB-4等工具
结论
本研究通过大样本、多队列、金标准对照、多维度统计验证,充分证实Met-FIB具备跨病因适用、全分期精准、高灵敏高特异、临床可落地的核心优势,为其从科研走向临床应用提供了完整且坚实的证据支持。
绘谱帮你测
麦特绘谱开创性地搭建了医学领域高端代谢组学技术平台,覆盖了非靶向-全定量-代谢流等全方位的高端医学代谢组解决方案,同时全面布局微生物组学、转录组学和蛋白质组学等多组学技术服务,已成为全球多组学研究者的优选合作伙伴。麦特绘谱已为数百家三甲医院、科研院所和企业提供多组学一站式整体解决方案,协助客户与合作伙伴发表SCI文章600+篇,累计影响因子6000+,平均IF>10,涵盖Cell, Science, Nature, Cancer Cell, Signal Trans-duction and Targeted Therapy, Nature Biotechnology, Cell Metabolism等顶级期刊。
